
Spirometry: A Pulmonary Function Test (PFT)
What is spirometry?
Spirometry is a Pulmonary Function Test (PFT) that measures how well a person’s lungs are functioning. It’s a simple, non-invasive test that assesses the amount of air a person can inhale and exhale.
Spirometry tests are performed by a qualified medical professional such as nurse, doctor or trained occupational health specialist usually within a private clinic or hospital.
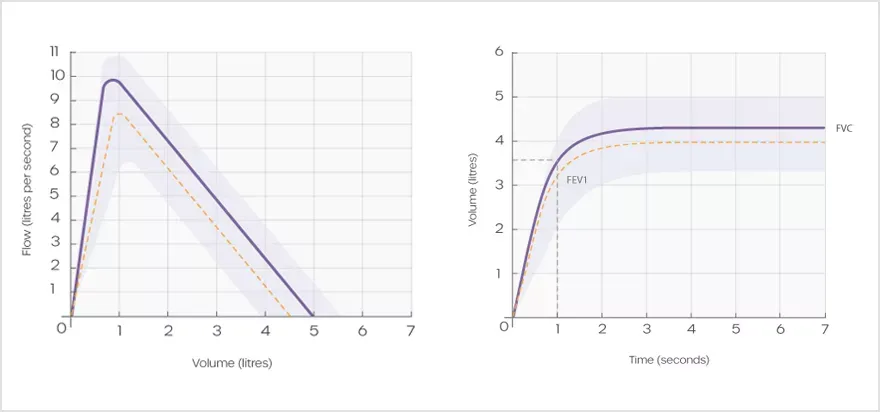
The results from a spirometry test are shown on a spirometer graph (called a spirogram), which gives a visual record of the expiration part of the test. Breath Flow (measured in litres per second) is shown along the Y (left) axis, and breath Breath Volume (measured in litres) is shown against the X (bottom) axis.
Results are compared to expected values which are based on criteria such as age, sex, height, ethnicity, medical history, medications, and consistency.
This helps doctors and respiratory professionals to diagnose and monitor lung conditions that can cause breathing problems, such as asthma, chronic obstructive pulmonary disease (COPD), and other respiratory disorders that effect pulmonary function or cause a heart-attack.
What is a spirometer used for?
During a spirometry test, a healthcare provider will ask the person being tested to breathe into a spirometer; a medical device with a mouthpiece. Spirometers are generally used to assist in the diagnosis of illnesses that can affect lung function.
They might also be used to assess a person’s lung condition on a periodical basis i.e., in a workplace where triggers might be present that can influence lung function.
What does a spirometer measure?
There are several parameters used to assess lung function. They can all help to diagnose and monitor pulmonary function/ lung conditions:

How accurate is spirometry?
This test is one of the most frequently used pulmonary function tests to assess lung function. The American Thoracic Society (ATS) along with the European Thoracic Society (ETS) have implemented technical standards around spirometry testing, with the aim of increasing accuracy, quality of results and improving the patient experience. These standards include guidance for conducting spirometry, instrumentation, quality assurance and the analysis of test results.
Is a spirometry test safe?
A spirometry test is considered to be very safe, however during the Forced Vital Capacity (FVC) test, and maybe for a short time afterwards, the person being tested might feel dizzy or faint. This is simply the after-effect of making forcible breaths into the spirometer. Because of this, it’s a good idea to check with a medical professional before taking a spirometry test.
People who have (or have recently experienced) angina, shortness of breath, suffer from heart disease or have problems with blood pressure, should always follow professional medical advice.
A person who has recently undergone an operation should also seek medical advice, especially if the procedure involved the head, eyes, stomach, or chest. This is mainly because during a spirometry test, there can be increased pressure placed on these parts of the body.
What’s a normal level in spirometry?
A person’s spirometry test results are compared to their predicted values. Predicted values are estimates of what a healthy person of a certain age, gender, height, and ethnicity would be expected to achieve.
This determines if the patient’s lung function is within the normal range, or if there are signs of disease. Normal levels in a spirometry test can vary depending on factors such as age, sex, height, and ethnicity. Spirometry reference values are determined by studying large populations and are expressed as a percentage of predicted values.
Industry-leading spirometers
Spirometry is essential when it comes to diagnosing and monitoring lung conditions, aiding in treatment decisions, and assessing the effectiveness of interventions over time.
Amplivox is proud to offer EMR-compatible spirometers to meet all the requirements of occupational and respiratory health professionals.
With the inclusion of class-leading spirometry PC database applications, users can benefit from comprehensive data analysis, trending, and transfer capabilities.
For more information on our spirometry devices please visit our spirometers webpage, contact our customer support team on +44 (0)1865 880 846 or email.



